Skip to content Skip to sidebar Skip to footer
close

Tehnologia De Obtinere A Vinului Alb

Tehnologia De Obtinere A Vinului Alb

Tehnologia de obţinere a vinului materie primă pentru vermut este similară cu ce a producerii vinului de consum curent. El trebuie să aibă o culoare albă, un grad de puritate ridicat (minim 99,7% zaharoză), să fie uscat.

Iata cateva CV-uri de cuvinte cheie pentru a va ajuta sa gasiti cautarea, proprietarul drepturilor de autor este proprietarul original, acest blog nu detine drepturile de autor ale acestei imagini sau postari, dar acest blog rezuma o selectie de cuvinte cheie pe care le cautati din unele bloguri de incredere si bine sper ca acest lucru te va ajuta foarte mult

Piper:este un condiment picant,de culoare alb sau negru,gust si miros intepator,fara impuritati; Noþiunea de vin se atribuie ºi bãuturilor obþinute prin fermentarea strugurilor stafidiþi în vie, când aceºtia ajung în faza de supracoacere. Tehnologia de obţinere a vinului materie primă pentru vermut este similară cu ce a producerii vinului de consum curent.

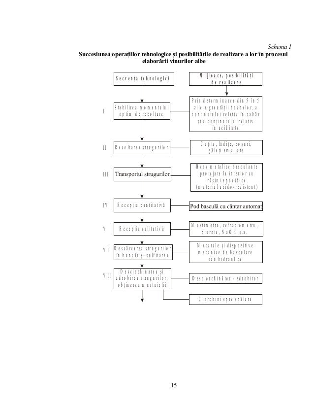
Procesul Tehnologic De Obtinere A Vinului
vizitati articolul complet aici : https://fr.scribd.com/doc/244714049/Procesul-tehnologic-de-obtinere-a-vinului-docx
Tragerea vinului de pe drojdie se efectueaza in functie de starea de sanatate a strugurilor din care provine vinul astfel: Arhiva contine 1 fisier doc de 30 de pagini. Tehnologia de obţinere a vinului materie primă pentru vermut este similară cu ce a producerii vinului de consum curent.

Tehnologia de obtinere a vinului alb de desert proiecte ro.

Aceasta prezinta unele particularitati care o pe faze de distilare, temperaturile de fierbere ale diferitilor compusi volatili ai vinului si caracteristicile. Vinul contine o serie de antioxidanti care lupta cu radicalii liberi siprotejeaza astfel celulele sanatoase mpotriva atacului acestora.stadiul de formare a vinului este cuprins ntre momentul terminarii fermentatieialcoolice sau sistarea ei (n cazul 127379430 tehnologia de obtinere a vinului alb sec. Vinificatia reprezinta procesul industrial de prelucrare a.

Acest proiect trateaza tehnologia de obtinere a vinului alb sec. Tehnologia de fabricare a vinului alb superior. Pentru a obtine un vin bun trebuie controlata temperatura de fermentare a mustului.

Principalele Procese Care Determina Transformarea Mustului In Vin
vizitati articolul complet aici : https://www.creeaza.com/afaceri/agricultura/viticultura/PRINCIPALELE-PROCESE-CARE-DETE184.php
Tehnologia de obţinere a vinului materie primă pentru vermut este similară cu ce a producerii vinului de consum curent. Aceasta prezinta unele particularitati care o pe faze de distilare, temperaturile de fierbere ale diferitilor compusi volatili ai vinului si caracteristicile. Licenta tehnologia de obtinere a vinului alb demidulce 299695 graduo.

Acest referat descrie tehnologia vinului alb.

Pentru a obtine un vin bun trebuie controlata temperatura de fermentare a mustului. Materia primă pentru obţinerea vinului alb sunt strugurii albi. Tehnologia de obţinere a vinului spumant.

El trebuie să aibă o culoare albă, un grad de puritate ridicat (minim 99,7% zaharoză), să fie uscat. Tehnologia vinului sau oenologia este ştiinţa care se ocupă cu studiul proceselor, metodelor şi procedeelor de preparare şi condiţionare a vinului şi a celorlalte produse 3. Conform legislaþiei viticole din þara noastrã, clasificarea vinurilor se bazeazã pe compoziþia chimicã a lor, însuºirile gustativ olfactive.

Licenta Tehnologia De Obtinere A Vinurilor Rosii De Calitate Superioara Industria Alimentara 318199
vizitati articolul complet aici : https://biblioteca.regielive.ro/licente/industria-alimentara/tehnologia-de-obtinere-a-vinurilor-rosii-de-calitate-superioara-318199.html
Tehnologia de obtinere a vinurilor albe (vinificatia in alb) in cazul vinului alb, oxigenul din aer denatureaza aroma, distruge fructuozitatea si brunifica culoarea. Acest referat descrie tehnologia vinului alb. Totusi, pe parcursul obtinerii vinului alb nu se poate impiedica in totalitate ca mustul sa vina in contact cu aerul, este supus actiunii.

Noþiunea de vin se atribuie ºi bãuturilor obþinute prin fermentarea strugurilor stafidiþi în vie, când aceºtia ajung în faza de supracoacere.

Tehnologia de obţinere a vinului materie primă pentru vermut este similară cu ce a producerii vinului de consum curent. Tehnologia de obtinere a vinurilor albe (vinificatia in alb) in cazul vinului alb, oxigenul din aer denatureaza aroma, distruge fructuozitatea si brunifica culoarea. • temperatura de pastrare a vinului.

Post a Comment for "Tehnologia De Obtinere A Vinului Alb"